2024年3月,黄色导航
陈超(第一作者)、王立峰(通讯作者)在国际TOP期刊Food Chemistry(Q1,IF: 8.8)发表题为“Interaction of oat avenanthramides with starch and effects on in vitro avenanthramide bioaccessibility and starch digestibility”的研究性论文。
燕麦蒽酰胺是一种存在于燕麦麸皮中的特殊含氮多酚。大量的药理学研究表明,燕麦蒽酰胺具有强效的抗氧化、抗炎、预防动脉粥样硬化和止痒活性。燕麦蒽酰胺通常被用作新型护肤产品和外用药物的有效成分,具有抗炎和止痒作用。然而,由于其极低的生物利用度,目前它们的应用主要限于抗炎药物和化妆品领域,而不是食品行业。
降低淀粉消化性有助于减少热量摄入,预防肥胖和2型糖尿病。许多科学研究表明,酚类化合物可通过阻碍消化酶的活性并与淀粉分子发生相互作用,可达到具有减缓淀粉消化性的潜力。值得注意的是,高分子量酚类化合物,如缩合单宁,与生淀粉具有强烈的吸附作用,在体外显著降低其消化性。此外,低分子量酚类化合物,如香豆酸、没食子酸和儿茶素已被证明与淀粉分子相互作用,导致其功能性质发生变化。
酚类与淀粉之间的相互作用引起了人们的重视,因为这可能对酚类的生物利用度和淀粉的消化性产生影响。然而,关于淀粉与燕麦蒽酰胺之间的相互作用及其对燕麦蒽酰胺的生物利用度和淀粉消化性的影响,目前知之甚少。因此,我们的研究旨在探讨燕麦蒽酰胺与不同类型淀粉(直链淀粉、支链淀粉、普通淀粉)的相互作用及其对燕麦蒽酰胺生物利用度和体外淀粉消化性的影响。本研究的结果将首次揭示含氮多酚与淀粉的相互作用机制及其对淀粉消化性的影响。

研究亮点
首次研究了含氮多酚与淀粉的相互作用机制及其对淀粉消化性的影响。
研究结论
本研究阐明了燕麦蒽酰胺与不同类型淀粉之间的相互作用机制。与酚酸相比,燕麦蒽酰胺与淀粉的相互作用更强。糊化淀粉进一步降低了燕麦蒽酰胺的浓度。此外,淀粉降低了燕麦蒽酰胺2p 和 2f 的生物可及性。燕麦蒽酰胺的添加显著减少了快消化淀粉和慢消化淀粉的含量,但增加了抗性淀粉的含量。与酚酸相比,燕麦蒽酰胺在淀粉消化方面也表现出更优的延迟作用。总体而言,本研究的发现首次支持将含氮多酚作为功能性食品配方中降低血糖属性的成分。通过将这些含氮多酚纳入食品基质,可以制定新的策略,有效调节血糖水平并促进全面健康。
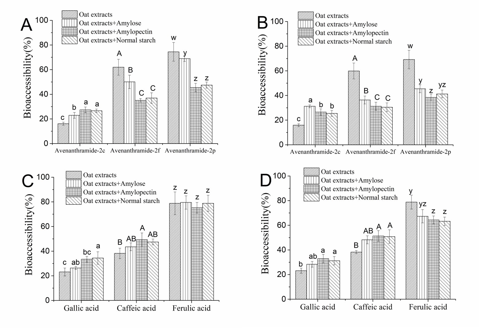
图文赏析

燕麦蒽酰胺与淀粉之间的相互作用机制示意图

图1. 未糊化淀粉(A)和糊化淀粉(B)对燕麦提取物中2c、2f和2p型燕麦蒽酰胺浓度的影响。每种燕麦蒽酰胺数据上方的不同字母表示差异显著(p<0.05)

图2. 未糊化淀粉(A)和糊化淀粉(B)对燕麦提取物中没食子酸、对香豆酸和阿魏酸浓度的影响。每种酚酸数据上方的不同字母表示差异显著(p<0.05)。

图3. 未糊化淀粉(A)和糊化淀粉(B)对燕麦提取物中2c、2f和2p三种燕麦蒽酰胺的生物可利用性的影响; 未糊化淀粉(C)和糊化淀粉(D)对燕麦提取物中没食子酸、对香豆酸和阿魏酸三种酚酸的生物可利用性的影响。每种燕麦蒽酰胺或酚酸数据上方的字母表示差异显著(p<0.05)
原文链接://doi.org/10.1016/j.foodchem.2023.137770